Olá pessoal! Bom, como o meu resumo de Matemática/O.F
não funcionou (eu expliquei em um comentário), a pedidos de alguns colegas, vou
postar alguns lembretes importantes. 
Dicas: Quando vocês lerem o problema para ser
montado, antes, interprete-o, entendendo o que o problema quer que a gente
resolva e o que nós devemos fazer primeiro. Finja que aquele problema ocorreu
com você. Quando terminar de resolver o problema, tire a prova real. Faça a
prova com calma, sem pressa de sair logo para encontrar com os amigos, pois não
serão eles quem te darão a nota! Faça primeiro a lápis e quando tiver certeza
de que é aquele o resultado, passe para a caneta. Entenda que o conteúdo da
prova é equação do 2º grau aplicando a fórmula de Bháskara e Soma e Produto.
Sendo assim, para montar o problema, lembre-se de usar esses conteúdos, não
invente nada! A melhor forma de estudar matemática é praticando, então peguem seus exercícios, copiem o enunciado e tentem resolvê-lo novamente.
Quando formos resolver problemas que temos que calcular o “K” (feito várias vezes em revisões em sala), calculamos primeiramente o valor de “delta” e depois vamos colocar o sinal de IGUAL, MAIOR ou MENOR, vai depender da pergunta. A partir do sinal, é só passar a parte numérica para o lado direito do sinal.
Relembrando e consertando erros do primeiro resumo
de matemática:
- Sendo S a soma e P o produto das raízes da equação 2x2 − 5x − 7 = 0, pode-se afirmar que:
a) S - P = 6
b) S + P = 2 
c) S . P = 4
d) S/ P = 1
e) S < P
Resposta: Letra "A", se você fez mesmo a conta, verá que a subtração de S e P é 6 devido ao jogo de sinais. 
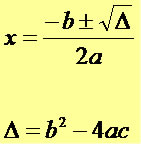
 Valores
de Delta e de X: 
 Equação do 2º Grau resolvida (Bhaskara):
Para montar a equação
com a S e P, a fórmula será: X² - Sx + P = 0, mas se S for negativo, então a
fórmula será X² + Sx + P = 0
Em questão aos sinais
(a ordem):
- Quando for – e +, será (x- ) (x- )
- Quando for + e -, será (x+ ) (x- )
- Quando for – e -, será (x- ) (x- )
- Quando for + e +, será (x+ ) (x+ )
Delta = b² - 4. a. c
> 0 
Equação (substituiremos
as letras por qualquer número + e -): 2x² + 5x – 2 = 0
Delta: 5² - 4. 2. (-2)
Delta: 25 + 16
Delta: 41
41>0
Se na prova pedir para
a gente montar uma equação em que Delta=0, usará os dois números positivos para
os valores de b e c:
Delta = b² - 4. a. c = 0
Equação (substituiremos
as letras por qualquer número + e +): 4x² + 8x + 4 = 0
Delta: 8² - 4. 4. 4
Delta: 64 – 64
Delta: 0
E se na prova pedir
para nós montarmos uma equação em que Delta<0, usaremos um número negativo e
o outro positivo para os valores de b e c:
Delta = b² - 4. a. c
< 0
Equação (substituiremos
as letras por qualquer número - e +): x² - 5x + 10
Delta: (-5)² - 4. 1. 10
Delta: 25 – 40
Delta: -15
Sendo assim, essa
equação Não Convém, pois Delta é um número negativo.


 
Olá! Gente, acabei de me lembrar de um detalhe: Matemática financeira. Não tenho certeza se o Júnior vai cobrar na prova, mas qualquer coisa, lembrem-se:
ResponderExcluirCapital: juros*taxa*tempo (C=j.i.t)
Montante: capital + juros (M=c+j)
Ai, ai, são detalhes, né... Se cair na prova e a gente não souber...
Até mais! Desculpa aí o detalhe de última hora!